Study Guide
Field 030: Middle Grades Mathematics
Sample Multiple-Choice Questions
The following reference material will be available to you during the assessment:
Competency 0001
Understand numbers.
In the base-2 number system, the sum of 101 and 1011 is:
- 1000
- 1112
- 2000
- 10000
- Answer
-
Correct Response: D.
This question requires the examinee to analyze the role of place value in any number system. Align addends 101 and 1011 such that place values are in the appropriate columns. Add the two digits in the right column, 1 + 1 = 2. The 2 is regrouped as equaling 1 × 21 + 0 × 20 with the 1 carried to the next column (Table 1). Continue the process until complete (Table 2), regrouping as needed, yielding the sum 10000.
Competency 0002
Understand operations.
A car that is advertised for $28,900 is sold after an 8% discount. If the commission rate is 0.75% of the sale price, how much money will the salesperson earn?
- $199.41
- $216.75
- $19,941.00
- $21,675.00
- Answer
-
Correct Response: A.
This question requires the examinee to solve a variety of mathematical and real-world problems involving ratios, proportions, and percents. The final sale price of the car is 92% of the asking price (100% – 8% discount) and the salesperson earns 0.75% of the sale price. Commission = ($28,900)(0.92)(0.0075) = $199.41.
Competency 0003
Understand patterns, relations, and functions.
A hiker climbs uphill at a steady pace, rests at a scenic spot for a while, then continues at a slower pace to the top of the hill. The hiker stops for lunch at the top, then decides to run down to the base of the hill. Which of the following graphs best expresses the hiker's speed as a function of time?
- Answer
-
Correct Response: C.
This question requires the examinee to analyze the properties of relations and functions in multiple representations (e.g., tables, graphs, equations, words). The "steady pace" held by the hiker reflects a constant speed over time; thus the first section of the graph is a horizontal line (slope equals zero) at some constant value of speed. The hiker slows to a resting position with a speed of zero, though time passes so the value for time continues to increase. The approach to the top of the hill shows a positive slope, with increasing speed and time as the hiker resumes walking, but since the pace is slower, the graph does not reach the previous level of speed. This pattern repeats when the hiker stops for lunch, but the run to the base reflects a greater speed than was achieved on the initial climb.
Competency 0004
Understand algebraic techniques and applications.
If a person can buy up to 3 times as many desktop computers as laptop computers with the same amount of money, then which of the following inequalities relates the price of a desktop computer D to the price of a laptop computer L?
- Answer
-
Correct Response: D.
This question requires the examinee to connect appropriate algebraic notation to phrases and sentences. The condition of "up to 3 times as many" is the same as 1 laptop computer having the value of at most 3 desktop computers. Thus for the price of a desktop computer, D, and the price of a laptop computer, L,
.
Competency 0005
Understand linear relations and applications.
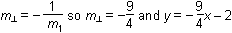
Which of the following is an equation of a line perpendicular to the line 4x – 9y = 12?
- Answer
-
Correct Response: D.
This question requires the examinee to analyze the relationship between a linear equation or inequality and its representations. The slope,
,
of the given line is found by isolating y in the given equation.
The slope,
,
of a line perpendicular to the given line is the negative reciprocal of the slope
of the given line
.
Thus
must be the equation of the perpendicular line.
Competency 0006
Understand nonlinear relations.
A new car is bought for $35,000, and each year it loses 15% of the previous year’s value. If v represents the value of the car after t years, which of the following equations could be used to find the car’s value after 10 years?
- v = 35,000 − (35,000)(0.15)(t)
- v = 35,000 − 35,000(0.15)t
- v = 35,000(0.85)(t)
- v = 35,000(0.85)t
- Answer
-
Correct Response: D.
This question requires the examinee to model a real-world problem with a nonlinear equation. The car is worth $35,000 when new, and each year its value is 85% (100% − 15%) of the previous year’s value. After one year, it is worth 85% of $35,000 or 35,000(0.85). After another year, its value is 85% of [35,000(0.85)] or 35,000(0.85)(0.85). After the third year, the car’s value will be 35,000(0.85)(0.85)(0.85). The factor (0.85) will be used 10 times, once for each year. Repeated factors are indicated by exponents. Thus the calculation will be 35,000(0.85)10.
Competency 0007
Understand measurement principles, procedures, and applications.
A car is traveling at a speed of 100 kilometers per hour. What is its approximate speed in meters per second?
- 28 meters per second
- 36 meters per second
- 280 meters per second
- 360 meters per second
- Answer
-
Correct Response: A.
This question requires the examinee to analyze the use of various units and unit conversions within the customary and metric systems. Both units in the given quantity must be converted: kilometers to meters and hours to seconds.
Competency 0008
Understand Euclidean geometry in two and three dimensions.

Five lines intersect as shown. If x and y are angle measures in degrees, which of the following equations relates y to x in the diagram above?
- Answer
-
Correct Response: B.
This question requires the examinee to analyze properties of points, lines, planes, and angles. If two lines are both perpendicular to the same transversal, the two lines are parallel. Thus there are two pairs of parallel lines in the figure. By the alternate interior angle theorem,
Competency 0009
Understand coordinate and transformational geometry.
The end points of one diagonal of a parallelogram are (1, 3) and (1, –3).
The end points of its other diagonal are (3, 1) and
-

- 10
- 20
-

- Answer
-
Correct Response: D.
This question requires the examinee to connect algebra and geometry by applying concepts of distance, midpoint, and slope to classify figures and solve problems in the coordinate plane. Use points (1, 3) and (3, 1), then points (3, 1) and (1, –3), and the distance formula to find the length of two different sides of the parallelogram:
.
There are two of each of these sides, thus the perimeter of the parallelogram is
.
Competency 0010
Understand principles and techniques of statistics.
Which of the following types of data representation would be most useful for illustrating a correlation between two variables?
- a scatter plot
- a double bar graph
- a histogram
- a box-and-whisker plot
- Answer
-
Correct Response: A.
This question requires the examinee to use appropriate formats for organizing and displaying data. The scatter plot is the only one of the four choices that displays data that occur as ordered pairs for two variables.
Competency 0011
Understand principles of probability and techniques for determining probability.
Milkshakes come in chocolate, vanilla, and strawberry flavors. Two people ordered milkshakes, but their orders were lost. If each person is given a randomly chosen flavor, what is the probability that they will both get the flavor that they ordered?
- Answer
-
Correct Response: D.
This question requires the examinee to determine probabilities of simple and compound events. The probability of one person getting the right flavor of shake is
.
The probability that the second person gets the right flavor is also
.
Since the two events are independent, the probability of the two people each getting the right flavor shake is
.



















